新人育成を「OJT任せ」にしていませんか?失敗しないオンボーディング設計
ソフトウェア開発チームで新人が育たないのはなぜ?本記事では、アールト大学の調査研究に基づき、オンボーディングが失敗する「4つの根本原因」をデータと共に解説。コミュニケーション不足や役割の曖昧さを解消し、新人の早期戦力化と生産性向上を実現する具体的な対策を提案します。
ソフトウェア開発チームで新人が育たないのはなぜ?本記事では、アールト大学の調査研究に基づき、オンボーディングが失敗する「4つの根本原因」をデータと共に解説。コミュニケーション不足や役割の曖昧さを解消し、新人の早期戦力化と生産性向上を実現する具体的な対策を提案します。
リモートでのアジャイル開発、チームの一体感に課題を感じていませんか?メタバースは新たな職場になりうるのか、12名のソフトウェア開発者が仮想オフィスでのスプリント計画を体験。論文に基づき、その驚くべきメリットと実用化に向けたリアルな課題を徹底解説します。
チームの雰囲気、一部のメンバーへのヒアリングだけで判断していませんか?本記事では、ソフトウェア開発チームにおけるコミュニケーションの「認識のズレ」を科学的に検証した研究に基づき、なぜメンバー全員の意見を聞くことが重要なのかをデータで解説します。信頼性の高いムード把握のヒントが得られます。
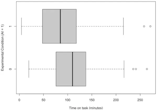
AIコード生成ツールが普及する中、開発現場では「AIが書いたコード」の適切な管理が課題です。本記事では最新調査に基づき、開発者が実践する「AI生成コードの自己申告」の重要性、具体的な方法、そして明日から使える実践ガイドラインを分かりやすく解説します。
アジャイル開発で本当にユーザー満足度を上げるには?最新研究に基づき、開発プロセス指標とユーザー満足度の関係を徹底分析。「Issue対応の速さ」が鍵である一方、「開発の速さ(ベロシティ)」だけでは不十分な可能性が。データが示す、本当に価値ある開発アプローチを紹介します。
アジャイル開発で「感情知能(EI)」がなぜ重要か知っていますか?最新研究に基づき、EIがリーダーシップやチームダイナミクスに与える驚きの効果を解説。EIを高め、プロジェクトの成果を飛躍させる具体的な方法も紹介します。
開発者体験(Dev-X)は開発生産性にどう影響する?218件の最新研究論文を分析し、Dev-X向上が生産性向上につながる要因と具体的な実践アプローチを解明。組織と開発者が取り組むべき、より良い開発環境と高い生産性を実現するためのヒントを提供します。
Meta社ではソフトウェア変更の14%以上がコード改善に充てられています。本記事ではMeta社による論文を基に、巨大IT企業が実践する技術的負債への具体的な対策、Better Engineering (BE) や戦略的リエンジニアリング、その驚くべき効果(品質向上・開発効率化)を詳細に解説します。
npm, Cargo, Poetryなど主要7パッケージマネージャーのロックファイル設計を徹底比較。依存関係の安定化と開発効率アップの秘訣を、最新研究に基づいて解説します。
リモートワークでのコミュニケーション、あなたの「外向性」は生産性や心の健康(ウェルビーイング)にどう影響する?最新研究に基づき、内向型・外向型それぞれに最適なチームや上司との会話術を解説。成果を最大化するヒントが見つかります。
アジャイルチームで「発言しないメンバー」に悩んでいませんか?プランニングポーカー導入が会話にどう影響するか、客観的な音声・視線データ分析で検証した研究を紹介。発言の偏りを減らし、チームのコミュニケーションを改善するヒントが見つかるかも。
2024年の日本企業のDX推進状況はどうなっているのでしょうか?IPAの最新レポート「DX推進指標 自己診断結果 分析レポート(2024年版)」を基に、平均成熟度レベル、大企業と中小企業の差、先行企業の特徴、そして企業が直面する共通課題を分かりやすく解説します。自社のDX戦略を見直すヒントに。